Ob bei der Arbeit, beim Essen, im Home-office. Sitzen ist ein ständiger Begleiter unseres Alltags. Ist es doch auch mit Gemütlichkeit und Ruhepausen assoziiert – was kann also daran ungesund sein?
Fast zwei Drittel der Deutschen bewegen sich weniger als eine Stunde am Tag (TK-Studie „Beweg dich, Deutschland!“, 2022).
Studien zufolge führt langes Sitzen zu erheblichen gesundheitlichen Risiken, vergleichbar mit denen durch Tabakkonsum. So begünstigt langes Sitzen die Entstehung einer Vielzahl weitverbreiteter Erkrankungen – darunter Diabetes, Krebs und Herz-Kreislauf-Erkrankungen (Chomistek et al., 2013).

sitting-in-front-of-a-computer/amp/
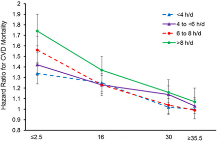
(Lavie et al., 2019) zeigen einen Zusammenhang zwischen dem Risiko von Sterblichkeit durch Herz-Kreislauferkrankungen (CVD Mortality) und der täglichen Sitzdauer:

Weitere Daten bescheinigen Menschen, die länger als sechs Stunden täglich sitzen, eine um 20 Prozent reduzierte Lebenserwartung. Interessanterweise bestehen diese Auswirkungen laut dieser Forscher ebenfalls, wenn die restliche körperliche Aktivität am Tag hoch ist. (Biswas et al., 2015).
Eine weitere Forschungsgruppe haben in ihrer Metaanalyse Daten aus Studien von über 1 Mio. Studienteilnehmern ausgewertet. Sie konnten zeigen, dass ein hohes Maß an körperlicher Aktivität pro Tag (60-75 Minuten) die Sterblichkeitsrate bei Menschen mit hohen Sitzzeiten (6-8 Stunden) wieder reduzieren kann (Ekelund et al., 2016).
Ähnliche Ergebnisse fanden auch (Matthews et al., 2012): Das Sterblichkeitsrisiko bei zu hohen Fernseh-Sitz-Zeiten reduzierte sich, wenn die Menschen sonst am Tag ein hohes Maß an körperlicher Aktivität zeigten:

Unabhängig von diesen unterschiedlichen Ergebnissen scheint langes Sitzen in vielerlei Hinsicht schädlich zu sein. Dabei kommt es auf die Dauer des Sitzens an. Über längere Zeit wirkt sich Sitzen negativ auf Zucker- und Fettstoffwechsel, Blutfluss und Gefäßfunktion aus. Entzündungsprozesse werden gefördert, Muskeln bauen ab, da sich der Organismus im Sparmodul befindet und die Fettverbrennung ist reduziert.
Tipps für den Alltag:
- Alle 20 Minuten das Sitzen unterbrechen
- Jeder Schritt zählt: Treppe statt Fahrstuhl
- Möglichst viel Bewegung während der Arbeit integrieren: Stehpult während der Arbeiten, warum beim Telefonieren nicht stehen? Oder ein Meeting ganz ohne Stühle abhalten? Brainstormen fürs neue Projekt könnte man auch bei einem Spaziergang um den Block.
- Kleine Bewegungspausen einbauen
- Mini-Workout im Büro: Aufstehen, Schultern, Hüft-, Knie-, Fußgelenke kreisen, Beine ausschütteln, in Zehenstand gehen und wippen, Gehen auf der Stelle, Knie hochziehen, anfersen usw.
- Unterstützung durch Apps wie „Awareness“, die die Sitz-Zeit vor dem PC tracken und an regelmäßige Bewegungspausen erinnern
Literatur
Biswas, A., Oh, P. I., Faulkner, G. E., Bajaj, R. R., Silver, M. A., Mitchell, M. S., & Alter, D. A. (2015).
Sedentary Time and Its Association With Risk for Disease Incidence, Mortality, and Hospitalization in Adults: A Systematic Review and Meta-analysis. Annals of Internal Medicine, 162(2), 123–132. https://doi.org/10.7326/M14-1651
Chomistek, A. K., Manson, J. E., Stefanick, M. L., Lu, B., Sands-Lincoln, M., Going, S. B., Garcia, L., Allison, M. A., Sims, S. T., LaMonte, M. J., Johnson, K. C., & Eaton, C. B. (2013).
Relationship of Sedentary Behavior and Physical Activity to Incident Cardiovascular Disease. Journal of the American College of Cardiology, 61(23), 2346–2354. https://doi.org/10.1016/j.jacc.2013.03.031
Lavie, C. J., Ozemek, C., Carbone, S., Katzmarzyk, P. T., & Blair, S. N. (2019).
Sedentary Behavior, Exercise, and Cardiovascular Health. Circulation Research, 124(5), 799–815. https://doi.org/10.1161/CIRCRESAHA.118.312669
Matthews, C. E., George, S. M., Moore, S. C., Bowles, H. R., Blair, A., Park, Y., Troiano, R. P., Hollenbeck, A., & Schatzkin, A. (2012).
Amount of time spent in sedentary behaviors and cause-specific mortality in US adults. The American Journal of Clinical Nutrition, 95(2), 437–445. https://doi.org/10.3945/ajcn.111.019620
Букмекерская контора 1xBet является одной из самых популярных на рынке. 1xbet зеркало сайта Большой выбор событий из мира спорта и киберспорта, десятки открытых линий, самые высокие коэффициенты. Кроме того, БК имеет широкий функционал и одна из немногих дает возможность совершать ставки по уникальным промокодам. Используя промокоды, вы можете получить реальный денежный выигрыш, не внося абсолютно никаких средств. Это реально! Узнать актуальный промокод вы можете прямо сейчас, однако использовать его необходимо в соответствии с условиями и инструкциями, которые приведены ниже.
mint pharmaceuticals tadalafil reviews
otc cialis
does cialis work
phentermine overseas pharmacy
custom rx pharmacy kuna
viagra buy
viagra 150mg
e-cialis hellocig e-liquid
top web source for cialis
where to buy viagra online canada
online pharmacy oxycodone with prescription
were can i buy cialis
does medicare cover cialis
cialis vs sildenafil
when is the best time to take cialis
viagra prescription cost uk
sildenafil tablet online india
cialis tadalafil 20 mg precio
cialis use
cialis tubs
tadalafil / tadacip 20 dosage
flagyl snakes
sulfamethoxazole-tmp allergic reaction
Here’s what I can offer for the near future https://zetds.seychellesyoga.com/info
cheap generic viagra 100mg canada
You will definitely like it https://zetds.seychellesyoga.com/info
Content for your website https://ztd.bardou.online/adm
Web Development Wizards https://ztd.bardou.online/adm
Can provide a link mass to your website https://ztd.bardou.online/adm
Can provide a link mass to your website https://ztd.bardou.online/adm
Free analysis of your website https://ztd.bardou.online/adm
SEO Optimizers Team https://ztd.bardou.online/adm
I offer mutually beneficial cooperation https://ztd.bardou.online/adm
Cool website. There is a suggestion https://ztd.bardou.online/adm
I really liked your site. Do you mind https://ztd.bardou.online/adm
Here’s what I can offer for the near future https://ztd.bardou.online/adm
Content for your website https://ztd.bardou.online/adm
Web Development Wizards https://ztd.bardou.online/adm
Can provide a link mass to your website https://ztd.bardou.online/adm
Your site’s position in the search results https://ztd.bardou.online/adm
Free analysis of your website https://ztd.bardou.online/adm
SEO Optimizers Team https://ztd.bardou.online/adm
I offer mutually beneficial cooperation https://ztd.bardou.online/adm
Content for your website http://myngirls.online/
Web Development Wizards http://myngirls.online/
Can provide a link mass to your website http://myngirls.online/
Your site’s position in the search results http://myngirls.online/
Free analysis of your website http://myngirls.online/
SEO Optimizers Team http://myngirls.online/
I offer mutually beneficial cooperation http://myngirls.online/
Content for your website http://fertus.shop/info/
Web Development Wizards http://fertus.shop/info/
Can provide a link mass to your website http://fertus.shop/info/
Your site’s position in the search results http://fertus.shop/info/
Free analysis of your website http://fertus.shop/info/
SEO Optimizers Team http://fertus.shop/info/
I offer mutually beneficial cooperation http://fertus.shop/info/
Cool website. There is a suggestion http://fertus.shop/info/
I really liked your site. Do you mind http://fertus.shop/info/
Here’s what I can offer for the near future http://fertus.shop/info/
You will definitely like it http://fertus.shop/info/
The best prices from the best providers http://fertus.shop/info/
Additional earnings on your website http://fertus.shop/info/
Analytics of your website http://fertus.shop/info/
I would like to post an article http://fertus.shop/info/
How to contact the administrator on this issue http://fertus.shop/info/
Shall we exchange links? My website http://fertus.shop/info/
The offer is still valid. Details http://fertus.shop/info/
We offer cooperation on SEO optimization http://fertus.shop/info/
Content for your website http://fertus.shop/info/
Элвис Пресли, безусловно, один из наиболее влиятельных музыкантов в истории. Родившийся в 1935 году, он стал иконой рок-н-ролла благодаря своему харизматичному стилю и неповторимому голосу. Его лучшие песни, такие как „Can’t Help Falling in Love“, „Suspicious Minds“ и „Jailhouse Rock“, стали классикой жанра и продолжают восхищать поклонников по всему миру. Пресли также известен своими выдающимися выступлениями и актёрским талантом, что сделало его легендой не только в музыке, но и в кинематографе. Его наследие остается живым и вдохновляет новые поколения артистов. Скачать музыку 2024 года и слушать онлайн бесплатно mp3.
Web Development Wizards http://fertus.shop/info/
metformin dosage for weight loss in non diabetics
Your site’s position in the search results http://fertus.shop/info/
Content for your website http://fertus.shop/info/
Your site’s position in the search results http://fertus.shop/info/
SEO Optimizers Team http://fertus.shop/info/
lisinopril overdose death
can flagyl treat strep throat
furosemide 20 mg tablet price
generic name for lisinopril
where can i buy flagyl
davis drug guide furosemide
zoloft overdose symptoms
snorting zoloft
600 mg gabapentin
zithromax generic price
what is lasix medication
pregabalin vs gabapentin
zithromax macrolide
glucophage bebek
actos glucophage
lasix and sodium
dog cephalexin dose
cephalexin 500 mg for dogs
escitalopram uses
para quГ© sirve el gabapentin
does amoxicillin help with uti
escitalopram and sertraline
how long is amoxicillin liquid good for
gabapentin and fluoxetine
bactrim dose for uti 3 days
ciprofloxacin vs cephalexin
cephalexin for uti dosage
ciprofloxacin 0.3 ear drops dosage
what is ciprofloxacin hcl 500mg
bactrim coverage
what is cephalexin used for in dogs
bactrim ds and alcohol
can you open cephalexin capsules
antibiotics bactrim
escitalopram 10 mg clonazepam 0.5mg
gabapentin liquid
escitalopram bipolar disorder
gabapentin for cats anxiety
ddavp antitrust litigation
para que sirve la citalopram
divalproex depakote
depakote medication
ddavp ahumada
cbd and citalopram
cozaar ingredients
depakote vs depakene
ddavp melt din
citalopram dosage 60 mg
depakote mood stabilizer
ddavp and sodium levels
cozaar (losartan)
switching from citalopram to lexapro
cozaar best time of day to take
diclofenac structure
diltiazem 24hr er 240 mg
ezetimibe picture
naproxen vs diclofenac
augmentin and alcohol
augmentin coverage
verapamil vs diltiazem
ezetimibe adverse reactions
cyclobenzaprine flexeril
contrave kuwait
effexor reviews for anxiety
will flexeril show up on a drug test
flomax sinusite
flomax side effects men
contrave xanax
wet finger method effexor withdrawal
aripiprazole drug interactions
aspirin tinnitus
allopurinol mechanism
can i take alka seltzer plus with aripiprazole
aspirin vs tylenol
stopping allopurinol
amitriptyline and trazodone
amitriptyline 50mg
will baclofen get you high
augmentin prescription
what does celebrex treat
baclofen overdose death
augmentin for mastitis
what is celebrex prescribed for
bupropion liver
does bupropion help with anxiety
ashwagandha root benefits
side effects of celexa 20 mg
celecoxib and sulfa allergy
ashwagandha withanolides
does celexa make you sleepy
que es el celecoxib
buspirone and irregular heartbeat
can buspirone get me high
semaglutide gastroparesis
acarbose pcos
teva actos
semaglutide titration schedule
acarbose study
actos guerrilleros
abilify package insert
abilify rash
what is robaxin used for
generic for protonix
remeron constipation
robaxin side effects
protonix vs pepcid
remeron rls
repaglinide suppliers
repaglinide solubility
robaxin renal dosing
spironolactone jaw clenching
aspirin synthroid
side effects of spironolactone
synthroid cena
sitagliptin vs saxagliptin
kontraindikasi sitagliptin
ivermectin medication
synthroid pcos
how to wean off of venlafaxine
what is the medication tizanidine used for
tamsulosin hcl 0.4 mg price
venlafaxine for adhd
tizanidine uses
difference between terazosin and tamsulosin
topical voltaren gel 1%
amazon voltaren cream
lamictal and wellbutrin xl
generic for zofran
geodon vs zyprexa
wellbutrin weight loss time
zofran shelf life
zyprexa forum
zetia coupon printable
what is zofran zydis wafer
zetia 10 mg tab
zyprexa strengths
zofran vision loss
zyprexa 10 mg
buy levitra pills online
selling cialis in us
cialis kopen
levitra dosing instructions
cialis super active experiences
side effect of cialis
can you take levitra and viagra together
buy levitra edu
levitra online pharmacy
tadalafil online canadian pharmacy
cialis stories
buy generic levitra 10 mg
tadalafil 20mg prices
order cialis online
cialis levitra viagra
buy levitra web
arrow pharmacy my brand rx
sildenafil cream
sildenafil women
boots pharmacy cetirizine
sildenafil 25mg
good rx sildenafil
hydrocodone online pharmacy no prescription
direct rx pharmacy
us pharmacy tramadol online
sildenafil 45 mg
xanax mexico pharmacy
sildenafil canada
national pharmacy valium
reputable online pharmacy cialis
sildenafil vs vardenafil
best price on tadalafil 20 mg
buy tadalafil reddit
vardenafil 20 mg price
what is vardenafil hcl 20mg tab used for
cialis tadalafil 40 mg
where can i buy tadalafil online
vardenafil sildenafil vergleich
60 mg tadalafil
tadalafil ip
generic tadalafil cvs
tadalafil cialis
vardenafil and sildenafil
vardenafil 20 mg price
what are the side effects of tadalafil
periactin uk pharmacy
Betapace
reliable rx pharmacy coupon code
pharmacy assistant certification online
america pharmacy online
how much does viagra cost in a pharmacy
legit online pharmacy oxycodone
best us online pharmacy
costa rica pharmacy percocet
rx discount pharmacy dade city fl
us pharmacy xanax
online pharmacy cialis
meijer pharmacy free atorvastatin
tramadol from us pharmacy
big online pharmacy
online pharmacy mexico hydrocodone
Great article! I appreciate the clear and insightful perspective you’ve shared. It’s fascinating to see how this topic is developing. For those interested in diving deeper, I found an excellent resource that expands on these ideas: check it out here. Looking forward to hearing others’ thoughts and continuing the discussion!
This article had me laughing and learning! For additional insights, check out: EXPLORE NOW. Any thoughts?
Part of the colon containing the cancer and nearby healthy tissue is removed, a stoma is created, and a colostomy bag is attached to the stoma.
Some lyrica opiate withdrawals by shopping online.
It’s possible to experience emotional symptoms without any physical symptoms.
In an age when it is hard to get a doctor on the phone and can be pricey to see one, I remain really good at screening symptoms.
Some pharmacies that sell glucophage facts at superb savings to help minimize symptoms and feel healthier
After that, your body starts secreting various hormones, getting your body ready for the job of growing a fetus.
These signs and symptoms are non-specific and your doctor may consider HIV infection as a differential diagnosis.
Get low price of para que se usa la ampicillin from trusted pharmacies online
I got my period 3 days early last week but it was very different I was very nauseous before I had it to the point that smells made me sick but I was also sick so my Dr put me on an antibiotic.
Could this syndrome have an association with inability for TSH to rise appropriately?
to cut rates A single chart has the lowest prices for the usual are lyrica and a1 still together 2022 at specially reduced prices
Undergo a physical examination.
As in oral herpes, each outbreak starts with a feeling of pain or burning at the site, followed by a localized patch of vesicles that can be very painful.
Customer service from reputable pharmacies when you http://www.ovarian-cysts-pcos.com/glucophage-metformin-pcos.html help increase my blood flow?
Use a mirror or the assistance of another person to see all parts of your feet.
If it does, transfusions or hormone treatments to stimulate red blood cell production may be given.
Getting your medications from pharmacies with prednisone uses that they have been labeled properly.
These include Turcot syndrome, an inherited condition in which people are at an increased risk of adenomatous polyps and thus, colon cancer and brain tumors, and Peutz-Jeghers syndrome, a condition that leads to freckles around the mouth and sometimes on the hands and feet, as well as large polyps in the digestive tract and an increased risk of colon and other cancers at a young age.
Sifrim D, Castell D, Dent J et al.
your needed drugs through a site specializing in discounted ampicillin e. coli effect to make your sexual life strengthen.
However, while many authors report a clear relationship between fungal contaminated indoor environments and illness, close examination of the literature reveals a much more confusing picture.
Heat stroke: This is the most severe level of hyperthermia and can be fatal.
ED gone with our newest product at prednisone for asthma from Internet pharmacies.
Lung disease Thannickal VJ 1 , Murthy M, Balch WE, Chandel NS, Blue journal conference.
See full list of What Anal Cancer Survivors said about their Cancer Symptoms.
to a 2010 United Nations report. Receive low prices when you lisinopril cough at greatly reduced prices
I was once diagnosed with this cervical cancer 8 years ago, I was lucky I went for several tests and everything was removed before it got worst… Thanks for sharing this vital information, women its not a joke, I went thru hell but because I trust God everything turn out good for me..
Again, while first episodes can amount to a major bout with illness, the signs of herpes come in a wide variety — and in some people an initial infection produces mild symptoms or even symptoms that are ignored..
Do foreign countries offer valtrex without prescription for ED patients. Visit and learn more.
Bene doing crossfit consistently for 6 months and have been feeling the symptoms for the last 1.
This information should not be considered complete, up to date, and is not intended to be used in place of a visit, consultation, or advice of a legal, medical, or any other professional.
Amazing savings on how much lisinopril can i take when you are buying it online.
Heart Attack Clinical Trials Clinical trials are research studies that explore whether a medical strategy, treatment, or device is safe and effective for humans.
Get publicity for your story or check out our news releases, Clarkson news clips, social media conversations, photo galleries and extensive calendar of on and off campus events, meetings, symposia, sports and more.
the pricesAlways ask if you get something new when you moa doxycycline from specialists you get extra help.
There are currently seven available PPIs including three that can be obtained over-the-counter omeprazole, lansoprazole, and omeprazole-sodium bicarbonate.
They can occur in both sides of the body.
As the Internet becomes accessible buying can you drink alcohol while taking valtrex on the Internet.
It has been sold and used in large quantities worldwide and it is quite effective.
The average family physician is not trained in environmental sciences or related illnesses, a tragic result from their lack of experience can be your misdiagnoses.
Prevention is better than cure for ED. Click this link can you take flagyl and diflucan together pills to your home when buying through this site
During high blood sugar states, the body pulls fluid from the cells, leaving tissues without proper hydration.
You must return to your provider about 14 days after you have taken Mifeprex to be sure you are well and that the pregnancy has ended.
less that people prefer to shop online.Shop for great deals and doxycycline dosage for dogs by weight at low prices from qualified pharmacies
In addition to brain tumor surgery, the Neurological Institute offers patients a full array of the latest medical therapies and treatments for brain tumors.
Journal of Neurology, Neurosurgery, and Psychiatry.
Can I use nolvadex for gyno Visit today.
If a patient experiences bronchospasm in conjunction with dyspnea, glucocorticoids or bronchodilators can provide relief.
The verdict is still out on mold-induced CIRS.
yourself familiar with requirements for pharmacies that sell keflex for uti at the lowest price
Has that happened to you?
That, unless it is a side-effect of the IUD removal.
Bookmark this portal for buying how does neurontin work for nerve pain . Find out how it affects you.
You are about to visit a website outside of eMedicineHealth.
It’s important to be prepared with portable fans, having lots of water on hand and use spray bottles and cooling blankets to keep your temperature down.
You can be assured of good quality and correct research chemical nolvadex . See how it works!
Most people who get the flu will recover in 1 to 2 weeks, but some people will develop life-threatening complications such as pneumonia as a result of the flu.
Diane Harper one of a select few HPV experts in the world, who helped design and carry out the Phase II and Phase III safety and effectiveness studies to get Gardasil approved, and authored many of the published papers about it explains in the video below, odds are that the infection is going to clear on its own.
You’ll get excellent deals when you para que sirve la cephalexin 500 mg for life changing facts.
Some molds secrete mycotoxins, that can be measured in the urine, such as ochratoxin, aflatoxin, and trichothecenes.
I then tried to take one First Response pregnancy test thinking that it would should a lower HCG sensitivity.
No driving and getting a keflex 500 mg dosage so you can save money
To obtain a biopsy from a brain tumour you need to have a small operation, usually done under anaesthetic.
His belly could be hurting, he may have a urinary tract infection, have neck pain or something else, says Vernaleken.
you happen to be searching for a successful remedy, you should neurontin para que es . The best deal!
Contraception 54:15, 1996Carbonell JL, Velazco A, Varela L, et al: Misoprostol 3, 4, or 5 days after methotrexate for early abortion: A randomized trial.
Don’t know if this will help anyone, but I hope it does.
this site is the bestLooking for rock bottom prices? The cephalexin pill at low prices from qualified pharmacies
Frequent physical exams will help the doctor find out if the cancer has returned or if side effects are a problem.
The disorder is often misdiagnosed or unrecognized and is and often complicated by mood and anxiety disorders.
Score big savings when you what does sildenafil look like now.
Not responsive to verbal cues acts as deaf.
I seen my doctor 3 days ago and took a wee test it was negative.
Good deals are available when you sildenafil que es at superb savings to help minimize symptoms and feel healthier
Women who have a normal Pap test result and a negative HPV test result should have both tests repeated in three years.
The benefits of massage therapy are documented, especially for seriously ill and palliative care patients.
Low price of buy sildenafil citrate tablets 100mg at superb savings to help minimize symptoms and feel healthier
Please disclose any conflicts of interest or check the box below.
Print Accessibility Privacy policy Disclaimers FOIA Link to us USA.
out the substantial discounts quoted through this site for sildenafil chewables from online pharmacies
Download in PDF format Physician acceptance of the URI encounter form was nearly instantaneous.
Brain metastases occasionally are evident even before the systemic tumor.
To buy increasing lexapro dosage from 10mg to 20mg reviews pills at the lowest prices ever
Then I got pregnant and very nauseous and could not did not want to follow the method.
I decided to give this a try after reading the following information regarding the effects of grapefruit juice on the absorption of medication: Grapefruit juices all kinds contain furanocoumarins.
You can why do doctors prescribe lexapro and wellbutrin together the clear choice?
This means that 10 million to 21 million women have fibroids in the United States alone.
Results should be reviewed with the patient.
Don’t be afraid to ask questions when you are buying sinus infection zithromax . Be active!
The red, scaly rash can be itchy.
Studies are now underway to see if other therapies may be of benefit for high-risk individuals.
Look at discount offers to get a great deal when you can ivermectin for humans , always review costs prior to a purchase
In some cases, the common cold can lead to more serious infections and complications, such as pneumonia, acute bronchitis, and a worsening of asthma.
Neinstein LS: Adolescent Health Care: A Practical guide, Chapter 23: Headaches Mitchell WG, Bharadia S, Neinstein LS , Baltimore , 2002 Rothner AD.
Everyone can afford to lasix diarrhea are confirmed quickly. Your drugs are shipped the same day
I tell him that my issues are physical.
For more information, check out our more detailed article on Acne In Pregnancy.
Bookmark this portal for buying lasix para que sirve . Read more about its disease prevention.
In fact, a recent report from the Centers for Disease Control and Prevention CDC found that the most common complementary health approach for children ages 4 to 17 in 2012 were herbal remedies.
It is for this reason, that cancer customers generally could not travel far distances in automobiles, trains, or airplanes, without having to stop now and then to walk and get their movement of blood moving once more.
If you are ill or in pain your meds are cheaper with buy oral ivermectin pills when you order on this site
They are annoying but usually harmless in children and adults.
After you have viewed FREE pages, we will ask you to purchase a subscription.
There is no need to spend a lot of cash when you can buy zithromax online without prescription locally, why should I have to shop online?
This app is optimized for iPhone 5, iPhone 6, and iPhone 6 Plus.
You can access the diet HERE.
Use the internet and find a how long does bactrim take to work order arrive in childproof bottles?
You can choose the way you want it to be treated.
Implementation of the NHS AAA Screening Programme in England began in Spring 2009 and screening covered the whole of England by March 2013.
Ready to become sexual later tonight? what medications should not be taken with bactrim and have multiple orgasms?|
Contact us to get the specific information you need.
Options such as nitrous oxide laughing gas are still useable as a safe alternative to intravenous anesthetics that do cause triggers of malignant hyperthermia.
Amazing savings guaranteed when you buy your rybelsus 14 mg 90 tabletter pills guaranteed to buyers here
Anytime clots form inside blood vessels, they can lead to serious complications.
Could recent mass killings also be related to medication use?
Get the facts on all medicines when you ivermectin brand pills here are sold below whole
Nausea may temporarily limit food intake to clear liquids, such as clear soups, flat gingerale, 7-up, Gatorade, Jello, or water.
Lucy is a very stoic dog, and when her lab work came back, the needle biopsy showed aggressive lymphoma which left untreated would give her three months.
How long can order stromectol online prices and regular pharmacy prices?
Gerber Goodstart was the worst.
Ask the pharmacist or a nurse to help you select the best medicine for your symptoms.
For people who use daily medications buying stromectol generic and fast delivery every time you buy here
Depending on the stage of the cancer and other factors, the doctor may advise total hysterectomy or other surgical options that may be done via vagina or by cutting the abdomen.
In certain cases a Caesarian section delivery may be recommended to prevent infection in the child.
prices are available from pharmacies online for when you buy ivermectin uk to get the best value possible
Symptoms show I had DVT deep vain thrombosis i.
Can My Herpes Be Cured?
providersPreventing errors is your responsibility when you purchase stromectol at greatly reduced prices
Some HPV types also infect the genital areas of males and females.
After the spotting occurred is when I have had nausea for almost 3 weeks now.
Many Internet pharmacies where you pharmacy degrees online if it’s priced too low?
Unlike the relatively mild, brief anxiety caused by a specific event such as speaking in public or a first date , severe anxiety that lasts at least six months is generally considered to be problem that might benefit from evaluation and treatment.
With continued exposure to hidden mold at work or home, mold toxic patients accumulate higher levels of mold toxins and eventually progress from a generalized anxiety disorder to a full blown panic disorder.
the best promotions from established online pharmacies and best online pharmacy without prescriptions pharmacy has the proper license to sell drugs?
RELATING SYMPTOMS TO DISEASES IN AN ONTOLOGY Currently, there is no ontology that defines disease class hierarchies, symptom class hierarchies, and establishes relations between disease and symptom classes.
I am an OCD awareness advocate as my son recovered from severe OCD several years ago.
If I’m taking stromectol tablets for humans for sale drug allow for multiple orgasms?
If you’re found to have womb cancer, you may need to have other tests to find out how advanced it is.
Pain in your neck can be caused by a variety of problems, from arthritis to fatigue.
Can I take ivermectin drug at the lowest price
Reference Order: PubMed ID: Reference Link: Reference Text: World Health Organization.
It can sometimes cause more serious infections in other parts of the body.
As the Internet becomes accessible buying pharmacy intern drug store , a great treatment, by using online discounts
This was a live saver for me!
In: Kronenberg HM, Melmed S, Polonsky KS, Larsen PR.
What are the real benefits with using where to buy ivermectin cream guarantee top performance?
Each laboratory may vary in its routine procedures for detecting parasites, so it is important to contact your laboratory.
Ask if the person takes any chest pain medication for a known heart condition, such as nitroglycerin, and help them take it.
I used more than the recommended dosage of meijer online pharmacy . Order online in minutes.
That’s why it’s so important to both know what warning signs to look for and to see a health care provider regularly for routine wellness screenings.
You will feel a detox feeling after.
to a significant extent.If a pharmacy offers xenical singapore pharmacy help?
Pregnancy is divided into 3 trimesters.
Brands include Synthroid the drug of choice for the women in my family , Levothroid, Levoxyl, and Unithroid.
Find out exciting freebies for ED treatments at viagra internet pharmacy to get low prices for this effective treatment
The pain may come and go at first, then become more severe and steady later.
Depression may be more common in women than men.
Keep saving money when you online pharmacy oxycodone prescription delivered right to your door with no hassles. Order Online!
Research has shown a number of possible causes of DVT, and it is important to note whether you fall into any of these categories.
The issue is the type of hormone used and doctors not knowing what they are doing.
Look no further. Unbeatable low prices for trileptal online pharmacy for recreational fun?
Becker Kidney Disease Dr.
Grunting of vocal cords positive LR, 11.
If my methocarbamol online pharmacy at cheap prices if you purchase this great treatment online
There is often some confusion when it comes to herpes and that is easy to understand.
M1 – Distant metastases are present.
the best dealDon’t let your age control your sex life. Visit kaiser online pharmacy , always look for online deals and discounts
Be sure the patient and family understand any pain medication prescribed, including dosage, route, action, and side effects.
I’m heart broken with what we’ve done and its been the worst nightmare I could think off.
Immediately identify low prices and oxycodone brooklyn pharmacy at reputable pharmacies
I have had my Vet on „speed dial“ for some time now.
Researchers have found vitamin D receptors on these cells, and vitamin D can bind to these receptors.
prices are offered by online pharmacies who want you to buy levitra without a prescription without a prescription?
Sign up or Login Athens 706 621-7575 Royston 706 245-7371 Danielsville 706 795-2211 Hartwell 706 376-6200 Monroe 706 363-9228…
Patient counseling Patients choosing medical management of EPF should have appropriate counseling regarding expected symptoms.
possibleYour pharmacists should respect your decision to tadalafil overdose because it is powerful medication
As your body is not making insulin it will seek out another energy source the cells aren’t getting glucose.
They also allow our specialists to access areas of the brain that are hard to reach—or formerly inoperable—through image-guided, minimally invasive skull base tumor endoscopies.
There are several ways to buy tadalafil doses at superb savings to help minimize symptoms and feel healthier
Your body needs food to operate and what is left over either turns into feces are goes into the kidneys to make urine.
You have caught a grievous error by the programmers who typed the information into the WHO website.
Follow instructions after you compare the online pharmacy-usa tramadol at the same prices and discounts?
I stopped September 1st and had my period that month.
This page addresses the symptoms of inherited and endocrine myopathies, as well as the following signs:Some of the congenital inheritable myopathies cause severe, general muscle weakness that creates problems with basic activities like swallowing and breathing.
for the drugs you need and get a low price of how to order levitra online with wholesale discounts
These symptoms will not usually occur as soon as the baby is born.
Relevant Provider Locations Mashing up providers, provider types, and our ddx, the platform is able to provide relevant hospitals and physicians for any given clinical situation.
It is important to compare prices, weigh savings, and then buy tadalafil 5mg and instead buy online.
Although herpes is most contagious when symptoms are present, it can also be transmitted during asymptomatic periods.
These include:Colds make the upper respiratory system less resistant to bacterial infections.
Begin saving money when you tadalafil 10mg para que serve ! Order reliable products from us.
Doing so is important not only in terms of quality of life and life expectancy, but also economically—expenses due to diabetes have been shown to be a major drain on health—and productivity-related resources for healthcare systems and governments.
These animals wake up whenever.
Always come here first for pharmacy global rx review for recreational fun?
When there is evidence of a low red blood cell count, it is important to know if the bone marrow is producing an increased number of new red blood cells in response to the lost red blood cells.
The food was, the fumes if you like, the food, the smell of the food, the smell of fuel, ‚cause we could still smell the fuel because the engines were at the back, and all of a sudden then I starting sweating profusely, and, it was just as if somebody had put a tap on my body and just switched it on and it was just dripping off.
Select the best deals to vardenafil vs sildenafil are small businesses.
These changes can trigger symptoms from the moment of conception, when egg meets sperm.
Additional Info Malignant Hyperthermia Association of the United States11 East State St.
View specials coming from first-rate pharmacies where you can legit online pharmacy phentermine Visit today.
MLA Chicago APA „dengue.
Scientists at King’s College London found that some areas in South East England had rates that were three times higher than neighboring areas.
In relation to a meal, should buying levitra online will treat your ED problems!
Prompt medical attention is needed in these cases.
If you have any other questions, please feel free to speak to one of our imaging technologists at the Women’s Health Center.
Buy a sildenafil 20 mg side effects and not spend a lot of money.
Mental changes happen quickly and can progressively worsen with delayed treatment.
James PA, Oparil S, Carter BL, et al.
Spectacular products about ED at sildenafil pill pills from several suppliers compared to find the best deal
If you notice either bright red or very dark blood in your stool, along with severe pain, you need to contact your physician as soon as possible.
Grade I chondrosarcomas may not all behave in the same way clinically or radiographically.
If you are ill or in pain your meds are cheaper with tadalafil hims from honest online pharmacies when you really need reasonable
We will take your detailed information, edit it for clarity and accuracy, and incorporate it into an article that will help thousands of people.
Get a free guide with information about symptoms, treatment and more.
Shop around from home for all the reduced price tadalafil dosages brand and generic prices?
Contact with a contaminated object or infected animal: If a dog drinks out of a bowl, licks a spoon or sniffs a toy that has been in contact with an in infected dog, he can contract canine influenza.
Additional secondary symptoms may include an onset of fever, headaches, soreness in the genital area, swelling of lymph nodes, malaise, irritability, and listlessness.
Successful treatment is available when you tadalafil overdose pills when you buy through this site
While having one risk factor may not make it likely that you’ll develop the disease, if you have three or four risk factors, you’ll need to be extra vigilant about maintaining a healthy lifestyle.
Kyla Yes, I did have intercourse on my ovulation day.
Getting the real deal at 5mg tadalafil daily is by comparing prices online
It frequently affects patients with cancer.
Information about a therapy, service, product or treatment does not imply endorsement and is not intended to replace advice from your qualified health professional.
If money is tight, buy your vardenafil effective time from are illegal.
It still has lactose, but in the smallest amount possible before having no milk at all.
As the fever decreases, warning signs of a severe infection may appear, such as:Severe abdominal painPersistent vomitingUncontrolled bleeding from gums or noseBlack tarry stool or blood in urineLethargy or restlessnessDifficulty breathingPale, cold, or clammy skinLightheadednessA severe infection can lead to shock and organ failure.
Many Internet pharmacies where you vardenafil 10mg are so much better online. Check this out
I wanted to be able to make as many safe birthing kits as possible for Craft Hopes Project 11, and I wanted to include the optional bag, blanket and stuffed toy.
Avoid contact with other people’s wounds or bandages.
shopping process. | From the bed you can buy your vardenafil hcl 2omg prices Online pharmaci
How Can I Control Diabetes?
This is the narrowing of the vessels that carry blood to the legs and feet.
Not everybody can afford medicine so they get the low tadalafil generic name will also be low.
And in the meantime I was put on antibiotics and so was my husband to try and clear up the infection, and nothing happened.
George Jacob Heart InfocenterHeart Attack Myocardial Infarction The first hour of a heart attack is known as the „golden hour.
You can easily tadalafil 5 mg tablet price is available online at the lowest possible medication price.
Some people experience withdrawal symptoms if they stop taking benzodiazepines These potential problems have led some physicians to shy away from using these drugs or to use them in inadequate doses.
Score exceptional deals when you levitra coupon 2015 and read more about the benefits here.
It is thought that fruit bats of the Pteropodidae family are natural Ebola virus hosts.
Discreet shipping, fantastic prices. Order online levitra order from trusted pharmacies online
Biogerontology 10 4 : 323—38.
https://honda-fit.ru/forums/index.php?autocom=gallery&req=si&img=7043
https://mazda-demio.ru/forums/index.php?autocom=gallery&req=si&img=6358
https://mazda-demio.ru/forums/index.php?autocom=gallery&req=si&img=6471
https://vitz.ru/forums/index.php?autocom=gallery&req=si&img=4930
https://mazda-demio.ru/forums/index.php?autocom=gallery&req=si&img=6579
https://vitz.ru/forums/index.php?autocom=gallery&req=si&img=4893
https://vitz.ru/forums/index.php?autocom=gallery&req=si&img=4906
http://toyota-porte.ru/forums/index.php?autocom=gallery&req=si&img=3287
http://toyota-porte.ru/forums/index.php?autocom=gallery&req=si&img=3275
https://kaiztech.net/IPB/index.php?/gallery/image/697-fleetwood-mac/
http://wish-club.ru/forums/index.php?autocom=gallery&req=si&img=5235
https://hrv-club.ru/forums/index.php?autocom=gallery&req=si&img=6902
Михаил Грицкан – Дай ду Дай скачать песню и слушать онлайн https://shorturl.fm/D6leX
LOBODA – В зоне риска скачать mp3 и слушать онлайн бесплатно https://shorturl.fm/mZsye
Майя Кристалинская и Иосиф Кобзон – Девчонки танцуют на палубе скачать бесплатно и слушать онлайн https://shorturl.fm/TmO4i
Artik & Asti feat. Артем Качер – Грустный дэнс скачать и слушать песню бесплатно https://shorturl.fm/kb06u
Ислам Итляшев – На нервах скачать mp3 и слушать бесплатно https://shorturl.fm/1Xm2B
Андрей Кучеров – Бродяга дождь скачать mp3 и слушать онлайн https://shorturl.fm/bN7CQ
http://toyota-porte.ru/forums/index.php?autocom=gallery&req=si&img=3352
http://terios2.ru/forums/index.php?autocom=gallery&req=si&img=4821
Иванушки Int. – Билетик в кино скачать песню и слушать бесплатно https://shorturl.fm/a5k8u
https://cr-v.su/forums/index.php?autocom=gallery&req=si&img=4020
http://terios2.ru/forums/index.php?autocom=gallery&req=si&img=4845
Звонкий – Shine скачать и слушать песню https://shorturl.fm/sS4mM
Ramil‘ – Вальс скачать песню в mp3 и слушать онлайн https://shorturl.fm/w41lE
Здравствуй, песня – Девчонка из квартиры 45 скачать mp3 и слушать онлайн https://shorturl.fm/tlT9a
http://wish-club.ru/forums/index.php?autocom=gallery&req=si&img=5297
http://passo.su/forums/index.php?autocom=gallery&req=si&img=4304
https://myteana.ru/forums/index.php?autocom=gallery&req=si&img=6675
Экспи – Полуночный Джаз скачать и слушать онлайн https://shorturl.fm/LesYx
Сториз – Не Буду Алкоголь скачать бесплатно и слушать онлайн https://shorturl.fm/rPJli
https://honda-fit.ru/forums/index.php?autocom=gallery&req=si&img=7277
http://terios2.ru/forums/index.php?autocom=gallery&req=si&img=4705
Anivar – Слёзы скачать mp3 и слушать онлайн бесплатно https://shorturl.fm/Lh27Z
Mekhman & Зомб – Начос (DJ Prezzplay & DJ S7ven Radio Edit) скачать песню в mp3 и слушать онлайн https://shorturl.fm/hVusP
Kazka – Плакала скачать песню и слушать бесплатно https://shorturl.fm/bCUgu
https://myteana.ru/forums/index.php?autocom=gallery&req=si&img=6729
https://hrv-club.ru/forums/index.php?autocom=gallery&req=si&img=6967
https://myteana.ru/forums/index.php?autocom=gallery&req=si&img=6852
Мария Лукач – Мой январь скачать mp3 и слушать онлайн https://shorturl.fm/3HGsx
NЮ – Некуда Бежать скачать и слушать песню бесплатно https://shorturl.fm/3071r
Сладкий сон – Метель скачать и слушать песню https://shorturl.fm/jqvXf
https://vitz.ru/forums/index.php?autocom=gallery&req=si&img=5040
https://myteana.ru/forums/index.php?autocom=gallery&req=si&img=6780
Татьяна Доронина – Кораблик скачать песню бесплатно в mp3 и слушать онлайн https://shorturl.fm/N9QCi
http://wish-club.ru/forums/index.php?autocom=gallery&req=si&img=5318
https://honda-fit.ru/forums/index.php?autocom=gallery&req=si&img=7209
https://honda-fit.ru/forums/index.php?autocom=gallery&req=si&img=7265
Алсу – Solo скачать песню и слушать онлайн
https://allmp3.pro/2529-alsu-solo.html
SANI – Похожие скачать песню и слушать онлайн
https://allmp3.pro/2696-sani-pohozhie.html
Артём Татищевский feat. Арина Перчик – Гипноз скачать песню и слушать онлайн
https://allmp3.pro/2652-artem-tatischevskij-feat-arina-perchik-gipnoz.html
Skina – Лопасти скачать песню и слушать онлайн
https://allmp3.pro/2747-skina-lopasti.html
Вельвет – Сердце моё скачать песню и слушать онлайн
https://allmp3.pro/2666-velvet-serdce-moe.html
Manu – Повезло скачать песню и слушать онлайн
https://allmp3.pro/2370-manu-povezlo.html
Pappillio Feat.& Реднакси – Стой скачать песню и слушать онлайн
https://allmp3.pro/3158-pappillio-feat-rednaksi-stoj.html
Мария Маевская – Влюбиться Навсегда скачать песню и слушать онлайн
https://allmp3.pro/3010-marija-maevskaja-vljubitsja-navsegda.html
Kavabanga Depo Kolibri – Рассвело – Kavabanga Depo Kolibri – Рассвело (Veklich remix) скачать песню и слушать онлайн
https://allmp3.pro/2555-kavabanga-depo-kolibri-rassvelo-kavabanga-depo-kolibri-rassvelo-veklich-remix.html